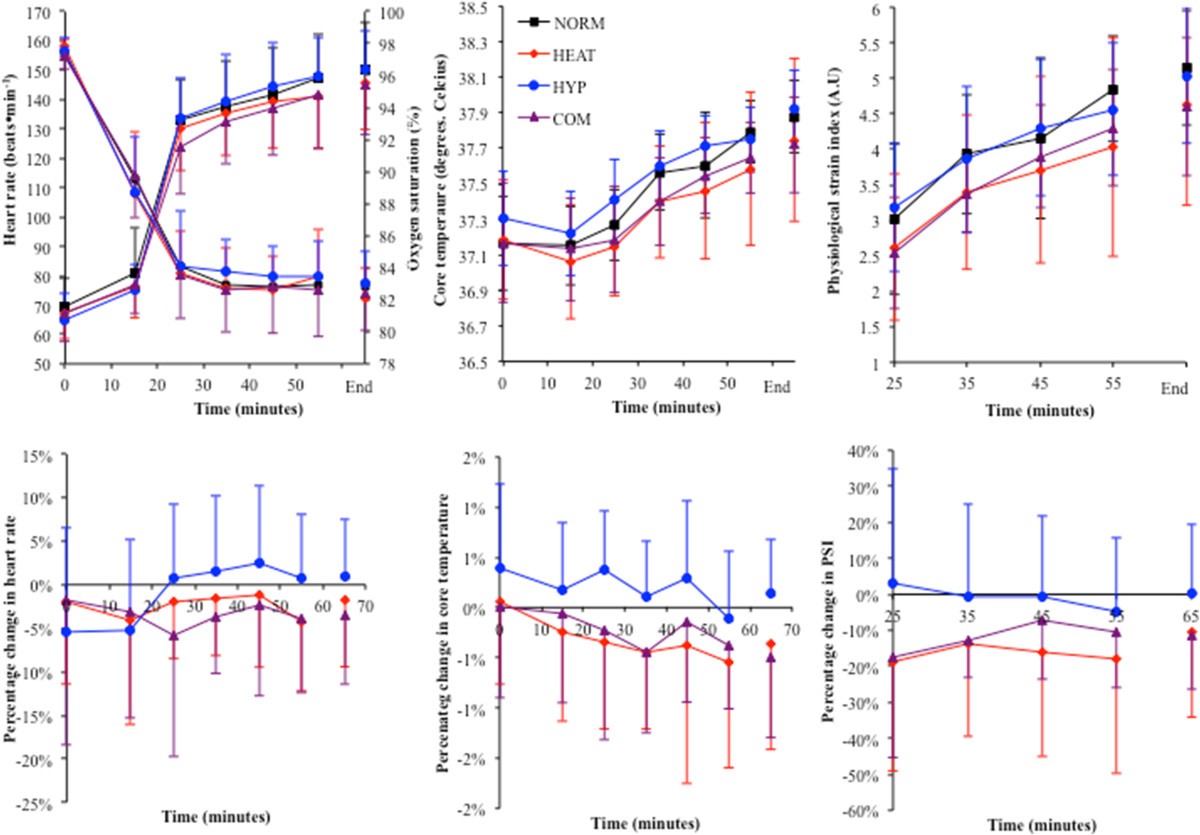
Figure 6

Cardiovascular and thermoregulatory responses to each HST. The top left panel shows the heart rate and SpO2 responses to each HST. The top middle panel shows the core temperature response to each HST. The top right panel shows the physiological strain index during each HST. The bottom panels represent the percentage difference in heart rate, core temperature and PSI, respectively, in relation to the HSTNORM trial.